
【哈工大(深圳)宣】(材料科学与工程学院/文、图)近日,在国家自然科学基金和深圳市基础研究项目支持下,哈工大(深圳)材料科学与工程学院王威教授团队与马星教授、美国乔治梅森大学Jeffrey Moran教授合作,在化学反应驱动微纳米马达的机制领域取得重要进展,为调控马达的运动方向提供了新的策略。研究团队在化学领域国际著名期刊《Angewandte Chemie Internationa Edition》(《德国应用化学》)上连续发表两篇论文,哈工大(深圳)为唯一通讯单位,王威教授为通讯作者。
在微纳米尺度自主游动的机器人也被称为微纳米马达,是在生物诊疗、环境监测、微纳制造等领域有极大应用前景的智能仿生器件,如何实现微纳米马达高效、可控的驱动是其广泛应用的关键问题之一。在众多种类的微纳米马达中,利用化学燃料驱动的微纳米马达不需外界供能,且具有趋化、化学通讯等鲜明特点,具有很强的应用潜力,长期以来受到学术界的高度关注。但对于其驱动的物理、化学细节仍然有一系列关键科学问题尚未阐明,因此制约了其发展。
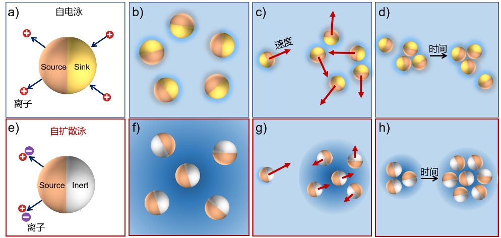
在1月7日发表的第一篇论文中,团队重点关注了离子驱动微纳米马达的细节。文章提出了一种普适性的方法,通过不同驱动机制的微纳马达的速度和团簇行为的不同特征,可以简便地区分自扩散泳和自电泳这两种驱动机制,为研究微纳马达之间的通信、组装、集体行为和在人体等复杂环境中的运动打下了理论基础。

图1 区别自扩散泳和自电泳微纳机器示意图
这种方法的主要原理是:自扩散泳型微纳马达本质上是一个离子源,因此在运行过程中会不断增大周围环境中的离子浓度。由于离子会屏蔽电场,因此自扩散泳微纳马达的颗粒密度越高,速度会更慢,也会形成不断生长的大团簇(见图1上半部分)。而自电泳型微纳马达则因为产生和消耗离子的速率大致相同,不会改变周围离子浓度,因而无论颗粒密度如何,速度都基本不变,并且会形成尺寸有限的动态团簇(图1下半部分)。 因此通过观测微纳马达在不同颗粒密度下的速度,以及它们的团聚过程,就可以方便、准确地区分两种机制驱动的微纳马达。
本文第一作者为2019级博士研究生彭奕鑫,通讯作者为王威教授,合作者为美国乔治梅森大学的Jeffrey Moran教授。
4月2日发表的第二篇论文则聚焦于一种有代表性的微纳米马达的驱动机制。镀铂(Pt)的微纳米粒子是一种经典的微纳米马达,能够通过催化分解H2O2产生氧气而自驱动。通常这种马达是以Pt侧在后运动的,但研究团队观察到铂镀层厚的马达会朝反方向运动。为解释这种反常现象,研究人员对镀铂的马达进行了X射线光电子能谱表征,在铂层发现了少量的氧化铂(PtO)。这很可能是因为真空溅射仪中的真空度较低,溅射出的Pt被氧化后沉积在样品表面。

图2 PtO使马达反转示意图
进一步的研究显示,PtO存在与否直接影响了微纳米马达运动的方向。因此,可以精确的控制烧结条件,将Pt层可控的转化为PtO,从而使马达反转,也可以将PtO层在高温下分解或者化学还原,使其转化为Pt,从而使已经反转的马达恢复正向运动。研究团队结合电化学测量,并基于前一篇论文中所提出的分辨驱动机制的方法,初步揭示了PtO是利用自电泳机制使马达反转运动的。
据介绍,这项工作有三点科学意义。首先通过材料表征和物相调控,发现了微纳米马达运动方向与物相间的对应关系。其次是开发了一种利用物相调控控制微纳米马达运动方向的方法,并有望拓展到微泵、微转子等其他类型的微机器。此外,该研究结果表明低真空度下溅射的金属可能转化为金属氧化物,从而影响镀层的化学性质,这对于理解和调控催化材料具有重要意义。
本文共同第一作者为2018级硕士研究生吕相龙(现在德国马克斯普朗克研究所攻读博士)和2016级本科生陈靖远(现在香港大学攻读博士),通讯作者为王威教授,合作者为马星教授。
近年来,马星教授和王威教授团队深耕微纳米机器领域,围绕微纳米马达的设计制备、驱动机制与控制以及功能化应用开展了一系列前沿研究,并取得了若干突破性进展,为后续设计更高效和多重功能化的智能微纳米机器,以及它们在复杂环境中的生物医学应用奠定了理论基础。(编辑 谢梁晖 审核 张惠屏)
论文链接:
https://onlinelibrary.wiley.com/doi/10.1002/anie.202116041
https://onlinelibrary.wiley.com/doi/10.1002/anie.202201018